Joint analysis of GRB 130427A with GBM, LLE and LAT data

[1]:
import warnings

warnings.simplefilter("ignore")
from threeML import *
from threeML.utils.data_download.Fermi_LAT.download_LAT_data import LAT_dataset
import matplotlib.pyplot as plt
import numpy as np
import astropy.units as u
from astropy.io import fits

%matplotlib inline
06:28:02 WARNING   The naima package is not available. Models that depend on it will not be         functions.py:43
                  available                                                                                        
         WARNING   The GSL library or the pygsl wrapper cannot be loaded. Models that depend on it  functions.py:65
                  will not be available.                                                                           
         WARNING   The ebltable package is not available. Models that depend on it will not be     absorption.py:33
                  available                                                                                        
[2]:
gbm_catalog = FermiGBMBurstCatalog()
source_name = "GRB130427324"
gbm_catalog.query_sources(source_name)
grb_info = gbm_catalog.get_detector_information()[source_name]
grb_info
06:28:04 INFO      The cache for fermigbrst does not yet exist. We will try to    get_heasarc_table_as_pandas.py:63
                  build it                                                                                         
                                                                                                                   
         INFO      Building cache for fermigbrst                                 get_heasarc_table_as_pandas.py:103
[2]:
{'source': {'fluence': '4.096000-142.338000', 'peak': '8.192000-9.216000'},
 'background': {'pre': '-285.420000--41.670000',
  'post': '381.250000-500.000000',
  'full': '-285.420000--41.670000,381.250000-500.000000'},
 'trigger': 'bn130427324',
 'detectors': array(['n6', 'n9', 'na', 'b1'], dtype='<U2'),
 'best fit model': {'fluence': 'band', 'peak': 'band'},
 'ra': 173.136,
 'dec': 27.7129}
[3]:
trigger_name = "bn130427324"
met = 388741629.420
ra = 173.136
dec = 27.7129
tstart = 0
tstop = 100
gbm_detectors = ["n6", "n9", "b1"]
roi = 10
zmax = 100.0
thetamax = 180.0
irf = "p8_transient010e"

Prepare GBM data

[4]:
dload = download_GBM_trigger_data(trigger_name, detectors=gbm_detectors)
[5]:
bkg_selection = ["-285--41", "310-355"]
gbm_plugins = []
time_series = {}
for det in gbm_detectors:

    # Use CSPEC data to fit the background using the background selections.
    # We use CSPEC because it has a longer duration for fitting the background.

    ts_cspec = TimeSeriesBuilder.from_gbm_cspec_or_ctime(
        det, cspec_or_ctime_file=dload[det]["cspec"], rsp_file=dload[det]["rsp"]
    )

    ts_cspec.set_background_interval(*bkg_selection)
    # The background is saved to an HDF5 file that stores the polynomial coefficients and selections
    ts_cspec.save_background(f"{det}_bkg.h5", overwrite=True)

    # We use TTE data for the actual spectral analysis
    ts_tte = TimeSeriesBuilder.from_gbm_tte(
        det,
        tte_file=dload[det]["tte"],
        rsp_file=dload[det]["rsp"],
        restore_background=f"{det}_bkg.h5",
    )

    time_series[det] = ts_tte

    # The source selection from the catalog is set
    ts_tte.set_active_time_interval("%f-%f" % (tstart, tstop))

    # The plugin for the time integrated analysis is created for each detector
    fluence_plugin = ts_tte.to_spectrumlike()

    # GBM channel selections for spectral analysis
    if det.startswith("b"):
        fluence_plugin.set_active_measurements("900-30000")

    else:
        fluence_plugin.set_active_measurements("40-900")

    fluence_plugin.rebin_on_background(1.0)

    gbm_plugins.append(fluence_plugin)
06:29:17 WARNING   The default choice for MATRIX extension failed:KeyError("Extension ('MATRIX', 1) response.py:450
                  not found.")available: None 'EBOUNDS' 'SPECRESP MATRIX' 'SPECRESP MATRIX'                        
                  'SPECRESP MATRIX' 'SPECRESP MATRIX' 'SPECRESP MATRIX' 'SPECRESP MATRIX' 'SPECRESP                
                  MATRIX' 'SPECRESP MATRIX' 'SPECRESP MATRIX' 'SPECRESP MATRIX'                                    
         WARNING   No TLMIN keyword found. This DRM does not follow OGIP standards. Assuming        response.py:576
                  TLMIN=1                                                                                          

WARNING RuntimeWarning: invalid value encountered in divide


WARNING RuntimeWarning: invalid value encountered in divide

06:29:18 WARNING   The default choice for MATRIX extension failed:KeyError("Extension ('MATRIX', 1) response.py:450
                  not found.")available: None 'EBOUNDS' 'SPECRESP MATRIX' 'SPECRESP MATRIX'                        
                  'SPECRESP MATRIX' 'SPECRESP MATRIX' 'SPECRESP MATRIX' 'SPECRESP MATRIX' 'SPECRESP                
                  MATRIX' 'SPECRESP MATRIX' 'SPECRESP MATRIX' 'SPECRESP MATRIX'                                    
         WARNING   No TLMIN keyword found. This DRM does not follow OGIP standards. Assuming        response.py:576
                  TLMIN=1                                                                                          
         WARNING   The default choice for MATRIX extension failed:KeyError("Extension ('MATRIX', 2) response.py:450
                  not found.")available: None 'EBOUNDS' 'SPECRESP MATRIX' 'SPECRESP MATRIX'                        
                  'SPECRESP MATRIX' 'SPECRESP MATRIX' 'SPECRESP MATRIX' 'SPECRESP MATRIX' 'SPECRESP                
                  MATRIX' 'SPECRESP MATRIX' 'SPECRESP MATRIX' 'SPECRESP MATRIX'                                    
         WARNING   No TLMIN keyword found. This DRM does not follow OGIP standards. Assuming        response.py:576
                  TLMIN=1                                                                                          
         WARNING   The default choice for MATRIX extension failed:KeyError("Extension ('MATRIX', 3) response.py:450
                  not found.")available: None 'EBOUNDS' 'SPECRESP MATRIX' 'SPECRESP MATRIX'                        
                  'SPECRESP MATRIX' 'SPECRESP MATRIX' 'SPECRESP MATRIX' 'SPECRESP MATRIX' 'SPECRESP                
                  MATRIX' 'SPECRESP MATRIX' 'SPECRESP MATRIX' 'SPECRESP MATRIX'                                    
         WARNING   No TLMIN keyword found. This DRM does not follow OGIP standards. Assuming        response.py:576
                  TLMIN=1                                                                                          
         WARNING   The default choice for MATRIX extension failed:KeyError("Extension ('MATRIX', 4) response.py:450
                  not found.")available: None 'EBOUNDS' 'SPECRESP MATRIX' 'SPECRESP MATRIX'                        
                  'SPECRESP MATRIX' 'SPECRESP MATRIX' 'SPECRESP MATRIX' 'SPECRESP MATRIX' 'SPECRESP                
                  MATRIX' 'SPECRESP MATRIX' 'SPECRESP MATRIX' 'SPECRESP MATRIX'                                    
         WARNING   No TLMIN keyword found. This DRM does not follow OGIP standards. Assuming        response.py:576
                  TLMIN=1                                                                                          
         WARNING   The default choice for MATRIX extension failed:KeyError("Extension ('MATRIX', 5) response.py:450
                  not found.")available: None 'EBOUNDS' 'SPECRESP MATRIX' 'SPECRESP MATRIX'                        
                  'SPECRESP MATRIX' 'SPECRESP MATRIX' 'SPECRESP MATRIX' 'SPECRESP MATRIX' 'SPECRESP                
                  MATRIX' 'SPECRESP MATRIX' 'SPECRESP MATRIX' 'SPECRESP MATRIX'                                    
         WARNING   No TLMIN keyword found. This DRM does not follow OGIP standards. Assuming        response.py:576
                  TLMIN=1                                                                                          
         WARNING   The default choice for MATRIX extension failed:KeyError("Extension ('MATRIX', 6) response.py:450
                  not found.")available: None 'EBOUNDS' 'SPECRESP MATRIX' 'SPECRESP MATRIX'                        
                  'SPECRESP MATRIX' 'SPECRESP MATRIX' 'SPECRESP MATRIX' 'SPECRESP MATRIX' 'SPECRESP                
                  MATRIX' 'SPECRESP MATRIX' 'SPECRESP MATRIX' 'SPECRESP MATRIX'                                    
         WARNING   No TLMIN keyword found. This DRM does not follow OGIP standards. Assuming        response.py:576
                  TLMIN=1                                                                                          
         WARNING   The default choice for MATRIX extension failed:KeyError("Extension ('MATRIX', 7) response.py:450
                  not found.")available: None 'EBOUNDS' 'SPECRESP MATRIX' 'SPECRESP MATRIX'                        
                  'SPECRESP MATRIX' 'SPECRESP MATRIX' 'SPECRESP MATRIX' 'SPECRESP MATRIX' 'SPECRESP                
                  MATRIX' 'SPECRESP MATRIX' 'SPECRESP MATRIX' 'SPECRESP MATRIX'                                    
         WARNING   No TLMIN keyword found. This DRM does not follow OGIP standards. Assuming        response.py:576
                  TLMIN=1                                                                                          
         WARNING   The default choice for MATRIX extension failed:KeyError("Extension ('MATRIX', 8) response.py:450
                  not found.")available: None 'EBOUNDS' 'SPECRESP MATRIX' 'SPECRESP MATRIX'                        
                  'SPECRESP MATRIX' 'SPECRESP MATRIX' 'SPECRESP MATRIX' 'SPECRESP MATRIX' 'SPECRESP                
                  MATRIX' 'SPECRESP MATRIX' 'SPECRESP MATRIX' 'SPECRESP MATRIX'                                    
         WARNING   No TLMIN keyword found. This DRM does not follow OGIP standards. Assuming        response.py:576
                  TLMIN=1                                                                                          
         WARNING   The default choice for MATRIX extension failed:KeyError("Extension ('MATRIX', 9) response.py:450
                  not found.")available: None 'EBOUNDS' 'SPECRESP MATRIX' 'SPECRESP MATRIX'                        
                  'SPECRESP MATRIX' 'SPECRESP MATRIX' 'SPECRESP MATRIX' 'SPECRESP MATRIX' 'SPECRESP                
                  MATRIX' 'SPECRESP MATRIX' 'SPECRESP MATRIX' 'SPECRESP MATRIX'                                    
         WARNING   No TLMIN keyword found. This DRM does not follow OGIP standards. Assuming        response.py:576
                  TLMIN=1                                                                                          
         WARNING   The default choice for MATRIX extension failed:KeyError("Extension ('MATRIX',    response.py:450
                  10) not found.")available: None 'EBOUNDS' 'SPECRESP MATRIX' 'SPECRESP MATRIX'                    
                  'SPECRESP MATRIX' 'SPECRESP MATRIX' 'SPECRESP MATRIX' 'SPECRESP MATRIX' 'SPECRESP                
                  MATRIX' 'SPECRESP MATRIX' 'SPECRESP MATRIX' 'SPECRESP MATRIX'                                    
         WARNING   No TLMIN keyword found. This DRM does not follow OGIP standards. Assuming        response.py:576
                  TLMIN=1                                                                                          
06:29:19 INFO      Auto-determined polynomial order: 1                                binned_spectrum_series.py:356
06:29:26 INFO      None 1-order polynomial fit with the mle method                               time_series.py:426
         INFO      Saved fitted background to n6_bkg.h5                                          time_series.py:972
         INFO      Saved background to n6_bkg.h5                                         time_series_builder.py:430
         WARNING   The TTE file                                                                      gbm_data.py:38
                  /home/runner/work/threeML/threeML/docs/md_docs/slow_execute/glg_tte_n6_bn130427324               
                  _v00.fit.gz contains duplicate time tags and is thus invalid. Contact the FSSC                   
         WARNING   The default choice for MATRIX extension failed:KeyError("Extension ('MATRIX', 1) response.py:450
                  not found.")available: None 'EBOUNDS' 'SPECRESP MATRIX' 'SPECRESP MATRIX'                        
                  'SPECRESP MATRIX' 'SPECRESP MATRIX' 'SPECRESP MATRIX' 'SPECRESP MATRIX' 'SPECRESP                
                  MATRIX' 'SPECRESP MATRIX' 'SPECRESP MATRIX' 'SPECRESP MATRIX'                                    
         WARNING   No TLMIN keyword found. This DRM does not follow OGIP standards. Assuming        response.py:576
                  TLMIN=1                                                                                          
         WARNING   The default choice for MATRIX extension failed:KeyError("Extension ('MATRIX', 2) response.py:450
                  not found.")available: None 'EBOUNDS' 'SPECRESP MATRIX' 'SPECRESP MATRIX'                        
                  'SPECRESP MATRIX' 'SPECRESP MATRIX' 'SPECRESP MATRIX' 'SPECRESP MATRIX' 'SPECRESP                
                  MATRIX' 'SPECRESP MATRIX' 'SPECRESP MATRIX' 'SPECRESP MATRIX'                                    
         WARNING   No TLMIN keyword found. This DRM does not follow OGIP standards. Assuming        response.py:576
                  TLMIN=1                                                                                          
         WARNING   The default choice for MATRIX extension failed:KeyError("Extension ('MATRIX', 3) response.py:450
                  not found.")available: None 'EBOUNDS' 'SPECRESP MATRIX' 'SPECRESP MATRIX'                        
                  'SPECRESP MATRIX' 'SPECRESP MATRIX' 'SPECRESP MATRIX' 'SPECRESP MATRIX' 'SPECRESP                
                  MATRIX' 'SPECRESP MATRIX' 'SPECRESP MATRIX' 'SPECRESP MATRIX'                                    
         WARNING   No TLMIN keyword found. This DRM does not follow OGIP standards. Assuming        response.py:576
                  TLMIN=1                                                                                          
         WARNING   The default choice for MATRIX extension failed:KeyError("Extension ('MATRIX', 4) response.py:450
                  not found.")available: None 'EBOUNDS' 'SPECRESP MATRIX' 'SPECRESP MATRIX'                        
                  'SPECRESP MATRIX' 'SPECRESP MATRIX' 'SPECRESP MATRIX' 'SPECRESP MATRIX' 'SPECRESP                
                  MATRIX' 'SPECRESP MATRIX' 'SPECRESP MATRIX' 'SPECRESP MATRIX'                                    
         WARNING   No TLMIN keyword found. This DRM does not follow OGIP standards. Assuming        response.py:576
                  TLMIN=1                                                                                          
         WARNING   The default choice for MATRIX extension failed:KeyError("Extension ('MATRIX', 5) response.py:450
                  not found.")available: None 'EBOUNDS' 'SPECRESP MATRIX' 'SPECRESP MATRIX'                        
                  'SPECRESP MATRIX' 'SPECRESP MATRIX' 'SPECRESP MATRIX' 'SPECRESP MATRIX' 'SPECRESP                
                  MATRIX' 'SPECRESP MATRIX' 'SPECRESP MATRIX' 'SPECRESP MATRIX'                                    
         WARNING   No TLMIN keyword found. This DRM does not follow OGIP standards. Assuming        response.py:576
                  TLMIN=1                                                                                          
         WARNING   The default choice for MATRIX extension failed:KeyError("Extension ('MATRIX', 6) response.py:450
                  not found.")available: None 'EBOUNDS' 'SPECRESP MATRIX' 'SPECRESP MATRIX'                        
                  'SPECRESP MATRIX' 'SPECRESP MATRIX' 'SPECRESP MATRIX' 'SPECRESP MATRIX' 'SPECRESP                
                  MATRIX' 'SPECRESP MATRIX' 'SPECRESP MATRIX' 'SPECRESP MATRIX'                                    
         WARNING   No TLMIN keyword found. This DRM does not follow OGIP standards. Assuming        response.py:576
                  TLMIN=1                                                                                          
         WARNING   The default choice for MATRIX extension failed:KeyError("Extension ('MATRIX', 7) response.py:450
                  not found.")available: None 'EBOUNDS' 'SPECRESP MATRIX' 'SPECRESP MATRIX'                        
                  'SPECRESP MATRIX' 'SPECRESP MATRIX' 'SPECRESP MATRIX' 'SPECRESP MATRIX' 'SPECRESP                
                  MATRIX' 'SPECRESP MATRIX' 'SPECRESP MATRIX' 'SPECRESP MATRIX'                                    
         WARNING   No TLMIN keyword found. This DRM does not follow OGIP standards. Assuming        response.py:576
                  TLMIN=1                                                                                          
         WARNING   The default choice for MATRIX extension failed:KeyError("Extension ('MATRIX', 8) response.py:450
                  not found.")available: None 'EBOUNDS' 'SPECRESP MATRIX' 'SPECRESP MATRIX'                        
                  'SPECRESP MATRIX' 'SPECRESP MATRIX' 'SPECRESP MATRIX' 'SPECRESP MATRIX' 'SPECRESP                
                  MATRIX' 'SPECRESP MATRIX' 'SPECRESP MATRIX' 'SPECRESP MATRIX'                                    
         WARNING   No TLMIN keyword found. This DRM does not follow OGIP standards. Assuming        response.py:576
                  TLMIN=1                                                                                          
         WARNING   The default choice for MATRIX extension failed:KeyError("Extension ('MATRIX', 9) response.py:450
                  not found.")available: None 'EBOUNDS' 'SPECRESP MATRIX' 'SPECRESP MATRIX'                        
                  'SPECRESP MATRIX' 'SPECRESP MATRIX' 'SPECRESP MATRIX' 'SPECRESP MATRIX' 'SPECRESP                
                  MATRIX' 'SPECRESP MATRIX' 'SPECRESP MATRIX' 'SPECRESP MATRIX'                                    
         WARNING   No TLMIN keyword found. This DRM does not follow OGIP standards. Assuming        response.py:576
                  TLMIN=1                                                                                          
         WARNING   The default choice for MATRIX extension failed:KeyError("Extension ('MATRIX',    response.py:450
                  10) not found.")available: None 'EBOUNDS' 'SPECRESP MATRIX' 'SPECRESP MATRIX'                    
                  'SPECRESP MATRIX' 'SPECRESP MATRIX' 'SPECRESP MATRIX' 'SPECRESP MATRIX' 'SPECRESP                
                  MATRIX' 'SPECRESP MATRIX' 'SPECRESP MATRIX' 'SPECRESP MATRIX'                                    
         WARNING   No TLMIN keyword found. This DRM does not follow OGIP standards. Assuming        response.py:576
                  TLMIN=1                                                                                          
         INFO      Successfully restored fit from n6_bkg.h5                              time_series_builder.py:166
06:29:27 INFO      Interval set to 0.0-100.0 for n6                                      time_series_builder.py:274
         INFO      Auto-probed noise models:                                                    SpectrumLike.py:486
         INFO      - observation: poisson                                                       SpectrumLike.py:487
         INFO      - background: gaussian                                                       SpectrumLike.py:488
         INFO      Range 40-900 translates to channels 26-123                                  SpectrumLike.py:1237
06:29:31 INFO      Now using 98 bins                                                           SpectrumLike.py:1706
         WARNING   The default choice for MATRIX extension failed:KeyError("Extension ('MATRIX', 1) response.py:450
                  not found.")available: None 'EBOUNDS' 'SPECRESP MATRIX' 'SPECRESP MATRIX'                        
                  'SPECRESP MATRIX' 'SPECRESP MATRIX' 'SPECRESP MATRIX' 'SPECRESP MATRIX' 'SPECRESP                
                  MATRIX' 'SPECRESP MATRIX' 'SPECRESP MATRIX' 'SPECRESP MATRIX'                                    
         WARNING   No TLMIN keyword found. This DRM does not follow OGIP standards. Assuming        response.py:576
                  TLMIN=1                                                                                          
         WARNING   Minimum MC energy (5.0) is larger than minimum EBOUNDS energy                    response.py:133
                  (4.410999774932861)                                                                              

WARNING RuntimeWarning: invalid value encountered in divide


WARNING RuntimeWarning: invalid value encountered in divide

06:29:32 WARNING   The default choice for MATRIX extension failed:KeyError("Extension ('MATRIX', 1) response.py:450
                  not found.")available: None 'EBOUNDS' 'SPECRESP MATRIX' 'SPECRESP MATRIX'                        
                  'SPECRESP MATRIX' 'SPECRESP MATRIX' 'SPECRESP MATRIX' 'SPECRESP MATRIX' 'SPECRESP                
                  MATRIX' 'SPECRESP MATRIX' 'SPECRESP MATRIX' 'SPECRESP MATRIX'                                    
         WARNING   No TLMIN keyword found. This DRM does not follow OGIP standards. Assuming        response.py:576
                  TLMIN=1                                                                                          
         WARNING   Minimum MC energy (5.0) is larger than minimum EBOUNDS energy                    response.py:133
                  (4.410999774932861)                                                                              
         WARNING   The default choice for MATRIX extension failed:KeyError("Extension ('MATRIX', 2) response.py:450
                  not found.")available: None 'EBOUNDS' 'SPECRESP MATRIX' 'SPECRESP MATRIX'                        
                  'SPECRESP MATRIX' 'SPECRESP MATRIX' 'SPECRESP MATRIX' 'SPECRESP MATRIX' 'SPECRESP                
                  MATRIX' 'SPECRESP MATRIX' 'SPECRESP MATRIX' 'SPECRESP MATRIX'                                    
         WARNING   No TLMIN keyword found. This DRM does not follow OGIP standards. Assuming        response.py:576
                  TLMIN=1                                                                                          
         WARNING   Minimum MC energy (5.0) is larger than minimum EBOUNDS energy                    response.py:133
                  (4.410999774932861)                                                                              
         WARNING   The default choice for MATRIX extension failed:KeyError("Extension ('MATRIX', 3) response.py:450
                  not found.")available: None 'EBOUNDS' 'SPECRESP MATRIX' 'SPECRESP MATRIX'                        
                  'SPECRESP MATRIX' 'SPECRESP MATRIX' 'SPECRESP MATRIX' 'SPECRESP MATRIX' 'SPECRESP                
                  MATRIX' 'SPECRESP MATRIX' 'SPECRESP MATRIX' 'SPECRESP MATRIX'                                    
         WARNING   No TLMIN keyword found. This DRM does not follow OGIP standards. Assuming        response.py:576
                  TLMIN=1                                                                                          
         WARNING   Minimum MC energy (5.0) is larger than minimum EBOUNDS energy                    response.py:133
                  (4.410999774932861)                                                                              
         WARNING   The default choice for MATRIX extension failed:KeyError("Extension ('MATRIX', 4) response.py:450
                  not found.")available: None 'EBOUNDS' 'SPECRESP MATRIX' 'SPECRESP MATRIX'                        
                  'SPECRESP MATRIX' 'SPECRESP MATRIX' 'SPECRESP MATRIX' 'SPECRESP MATRIX' 'SPECRESP                
                  MATRIX' 'SPECRESP MATRIX' 'SPECRESP MATRIX' 'SPECRESP MATRIX'                                    
         WARNING   No TLMIN keyword found. This DRM does not follow OGIP standards. Assuming        response.py:576
                  TLMIN=1                                                                                          
         WARNING   Minimum MC energy (5.0) is larger than minimum EBOUNDS energy                    response.py:133
                  (4.410999774932861)                                                                              
         WARNING   The default choice for MATRIX extension failed:KeyError("Extension ('MATRIX', 5) response.py:450
                  not found.")available: None 'EBOUNDS' 'SPECRESP MATRIX' 'SPECRESP MATRIX'                        
                  'SPECRESP MATRIX' 'SPECRESP MATRIX' 'SPECRESP MATRIX' 'SPECRESP MATRIX' 'SPECRESP                
                  MATRIX' 'SPECRESP MATRIX' 'SPECRESP MATRIX' 'SPECRESP MATRIX'                                    
         WARNING   No TLMIN keyword found. This DRM does not follow OGIP standards. Assuming        response.py:576
                  TLMIN=1                                                                                          
         WARNING   Minimum MC energy (5.0) is larger than minimum EBOUNDS energy                    response.py:133
                  (4.410999774932861)                                                                              
         WARNING   The default choice for MATRIX extension failed:KeyError("Extension ('MATRIX', 6) response.py:450
                  not found.")available: None 'EBOUNDS' 'SPECRESP MATRIX' 'SPECRESP MATRIX'                        
                  'SPECRESP MATRIX' 'SPECRESP MATRIX' 'SPECRESP MATRIX' 'SPECRESP MATRIX' 'SPECRESP                
                  MATRIX' 'SPECRESP MATRIX' 'SPECRESP MATRIX' 'SPECRESP MATRIX'                                    
         WARNING   No TLMIN keyword found. This DRM does not follow OGIP standards. Assuming        response.py:576
                  TLMIN=1                                                                                          
         WARNING   Minimum MC energy (5.0) is larger than minimum EBOUNDS energy                    response.py:133
                  (4.410999774932861)                                                                              
         WARNING   The default choice for MATRIX extension failed:KeyError("Extension ('MATRIX', 7) response.py:450
                  not found.")available: None 'EBOUNDS' 'SPECRESP MATRIX' 'SPECRESP MATRIX'                        
                  'SPECRESP MATRIX' 'SPECRESP MATRIX' 'SPECRESP MATRIX' 'SPECRESP MATRIX' 'SPECRESP                
                  MATRIX' 'SPECRESP MATRIX' 'SPECRESP MATRIX' 'SPECRESP MATRIX'                                    
         WARNING   No TLMIN keyword found. This DRM does not follow OGIP standards. Assuming        response.py:576
                  TLMIN=1                                                                                          
         WARNING   Minimum MC energy (5.0) is larger than minimum EBOUNDS energy                    response.py:133
                  (4.410999774932861)                                                                              
         WARNING   The default choice for MATRIX extension failed:KeyError("Extension ('MATRIX', 8) response.py:450
                  not found.")available: None 'EBOUNDS' 'SPECRESP MATRIX' 'SPECRESP MATRIX'                        
                  'SPECRESP MATRIX' 'SPECRESP MATRIX' 'SPECRESP MATRIX' 'SPECRESP MATRIX' 'SPECRESP                
                  MATRIX' 'SPECRESP MATRIX' 'SPECRESP MATRIX' 'SPECRESP MATRIX'                                    
         WARNING   No TLMIN keyword found. This DRM does not follow OGIP standards. Assuming        response.py:576
                  TLMIN=1                                                                                          
         WARNING   Minimum MC energy (5.0) is larger than minimum EBOUNDS energy                    response.py:133
                  (4.410999774932861)                                                                              
         WARNING   The default choice for MATRIX extension failed:KeyError("Extension ('MATRIX', 9) response.py:450
                  not found.")available: None 'EBOUNDS' 'SPECRESP MATRIX' 'SPECRESP MATRIX'                        
                  'SPECRESP MATRIX' 'SPECRESP MATRIX' 'SPECRESP MATRIX' 'SPECRESP MATRIX' 'SPECRESP                
                  MATRIX' 'SPECRESP MATRIX' 'SPECRESP MATRIX' 'SPECRESP MATRIX'                                    
         WARNING   No TLMIN keyword found. This DRM does not follow OGIP standards. Assuming        response.py:576
                  TLMIN=1                                                                                          
         WARNING   Minimum MC energy (5.0) is larger than minimum EBOUNDS energy                    response.py:133
                  (4.410999774932861)                                                                              
         WARNING   The default choice for MATRIX extension failed:KeyError("Extension ('MATRIX',    response.py:450
                  10) not found.")available: None 'EBOUNDS' 'SPECRESP MATRIX' 'SPECRESP MATRIX'                    
                  'SPECRESP MATRIX' 'SPECRESP MATRIX' 'SPECRESP MATRIX' 'SPECRESP MATRIX' 'SPECRESP                
                  MATRIX' 'SPECRESP MATRIX' 'SPECRESP MATRIX' 'SPECRESP MATRIX'                                    
         WARNING   No TLMIN keyword found. This DRM does not follow OGIP standards. Assuming        response.py:576
                  TLMIN=1                                                                                          
         WARNING   Minimum MC energy (5.0) is larger than minimum EBOUNDS energy                    response.py:133
                  (4.410999774932861)                                                                              
         WARNING   Minimum MC energy (5.0) is larger than minimum EBOUNDS energy                    response.py:133
                  (4.410999774932861)                                                                              
06:29:33 INFO      Auto-determined polynomial order: 2                                binned_spectrum_series.py:356
06:29:40 INFO      None 2-order polynomial fit with the mle method                               time_series.py:426
         INFO      Saved fitted background to n9_bkg.h5                                          time_series.py:972
         INFO      Saved background to n9_bkg.h5                                         time_series_builder.py:430
         WARNING   The TTE file                                                                      gbm_data.py:38
                  /home/runner/work/threeML/threeML/docs/md_docs/slow_execute/glg_tte_n9_bn130427324               
                  _v00.fit.gz contains duplicate time tags and is thus invalid. Contact the FSSC                   
         WARNING   The default choice for MATRIX extension failed:KeyError("Extension ('MATRIX', 1) response.py:450
                  not found.")available: None 'EBOUNDS' 'SPECRESP MATRIX' 'SPECRESP MATRIX'                        
                  'SPECRESP MATRIX' 'SPECRESP MATRIX' 'SPECRESP MATRIX' 'SPECRESP MATRIX' 'SPECRESP                
                  MATRIX' 'SPECRESP MATRIX' 'SPECRESP MATRIX' 'SPECRESP MATRIX'                                    
         WARNING   No TLMIN keyword found. This DRM does not follow OGIP standards. Assuming        response.py:576
                  TLMIN=1                                                                                          
         WARNING   Minimum MC energy (5.0) is larger than minimum EBOUNDS energy                    response.py:133
                  (4.410999774932861)                                                                              
         WARNING   The default choice for MATRIX extension failed:KeyError("Extension ('MATRIX', 2) response.py:450
                  not found.")available: None 'EBOUNDS' 'SPECRESP MATRIX' 'SPECRESP MATRIX'                        
                  'SPECRESP MATRIX' 'SPECRESP MATRIX' 'SPECRESP MATRIX' 'SPECRESP MATRIX' 'SPECRESP                
                  MATRIX' 'SPECRESP MATRIX' 'SPECRESP MATRIX' 'SPECRESP MATRIX'                                    
         WARNING   No TLMIN keyword found. This DRM does not follow OGIP standards. Assuming        response.py:576
                  TLMIN=1                                                                                          
         WARNING   Minimum MC energy (5.0) is larger than minimum EBOUNDS energy                    response.py:133
                  (4.410999774932861)                                                                              
         WARNING   The default choice for MATRIX extension failed:KeyError("Extension ('MATRIX', 3) response.py:450
                  not found.")available: None 'EBOUNDS' 'SPECRESP MATRIX' 'SPECRESP MATRIX'                        
                  'SPECRESP MATRIX' 'SPECRESP MATRIX' 'SPECRESP MATRIX' 'SPECRESP MATRIX' 'SPECRESP                
                  MATRIX' 'SPECRESP MATRIX' 'SPECRESP MATRIX' 'SPECRESP MATRIX'                                    
         WARNING   No TLMIN keyword found. This DRM does not follow OGIP standards. Assuming        response.py:576
                  TLMIN=1                                                                                          
         WARNING   Minimum MC energy (5.0) is larger than minimum EBOUNDS energy                    response.py:133
                  (4.410999774932861)                                                                              
         WARNING   The default choice for MATRIX extension failed:KeyError("Extension ('MATRIX', 4) response.py:450
                  not found.")available: None 'EBOUNDS' 'SPECRESP MATRIX' 'SPECRESP MATRIX'                        
                  'SPECRESP MATRIX' 'SPECRESP MATRIX' 'SPECRESP MATRIX' 'SPECRESP MATRIX' 'SPECRESP                
                  MATRIX' 'SPECRESP MATRIX' 'SPECRESP MATRIX' 'SPECRESP MATRIX'                                    
         WARNING   No TLMIN keyword found. This DRM does not follow OGIP standards. Assuming        response.py:576
                  TLMIN=1                                                                                          
         WARNING   Minimum MC energy (5.0) is larger than minimum EBOUNDS energy                    response.py:133
                  (4.410999774932861)                                                                              
         WARNING   The default choice for MATRIX extension failed:KeyError("Extension ('MATRIX', 5) response.py:450
                  not found.")available: None 'EBOUNDS' 'SPECRESP MATRIX' 'SPECRESP MATRIX'                        
                  'SPECRESP MATRIX' 'SPECRESP MATRIX' 'SPECRESP MATRIX' 'SPECRESP MATRIX' 'SPECRESP                
                  MATRIX' 'SPECRESP MATRIX' 'SPECRESP MATRIX' 'SPECRESP MATRIX'                                    
         WARNING   No TLMIN keyword found. This DRM does not follow OGIP standards. Assuming        response.py:576
                  TLMIN=1                                                                                          
         WARNING   Minimum MC energy (5.0) is larger than minimum EBOUNDS energy                    response.py:133
                  (4.410999774932861)                                                                              
         WARNING   The default choice for MATRIX extension failed:KeyError("Extension ('MATRIX', 6) response.py:450
                  not found.")available: None 'EBOUNDS' 'SPECRESP MATRIX' 'SPECRESP MATRIX'                        
                  'SPECRESP MATRIX' 'SPECRESP MATRIX' 'SPECRESP MATRIX' 'SPECRESP MATRIX' 'SPECRESP                
                  MATRIX' 'SPECRESP MATRIX' 'SPECRESP MATRIX' 'SPECRESP MATRIX'                                    
         WARNING   No TLMIN keyword found. This DRM does not follow OGIP standards. Assuming        response.py:576
                  TLMIN=1                                                                                          
         WARNING   Minimum MC energy (5.0) is larger than minimum EBOUNDS energy                    response.py:133
                  (4.410999774932861)                                                                              
         WARNING   The default choice for MATRIX extension failed:KeyError("Extension ('MATRIX', 7) response.py:450
                  not found.")available: None 'EBOUNDS' 'SPECRESP MATRIX' 'SPECRESP MATRIX'                        
                  'SPECRESP MATRIX' 'SPECRESP MATRIX' 'SPECRESP MATRIX' 'SPECRESP MATRIX' 'SPECRESP                
                  MATRIX' 'SPECRESP MATRIX' 'SPECRESP MATRIX' 'SPECRESP MATRIX'                                    
         WARNING   No TLMIN keyword found. This DRM does not follow OGIP standards. Assuming        response.py:576
                  TLMIN=1                                                                                          
         WARNING   Minimum MC energy (5.0) is larger than minimum EBOUNDS energy                    response.py:133
                  (4.410999774932861)                                                                              
         WARNING   The default choice for MATRIX extension failed:KeyError("Extension ('MATRIX', 8) response.py:450
                  not found.")available: None 'EBOUNDS' 'SPECRESP MATRIX' 'SPECRESP MATRIX'                        
                  'SPECRESP MATRIX' 'SPECRESP MATRIX' 'SPECRESP MATRIX' 'SPECRESP MATRIX' 'SPECRESP                
                  MATRIX' 'SPECRESP MATRIX' 'SPECRESP MATRIX' 'SPECRESP MATRIX'                                    
         WARNING   No TLMIN keyword found. This DRM does not follow OGIP standards. Assuming        response.py:576
                  TLMIN=1                                                                                          
         WARNING   Minimum MC energy (5.0) is larger than minimum EBOUNDS energy                    response.py:133
                  (4.410999774932861)                                                                              
         WARNING   The default choice for MATRIX extension failed:KeyError("Extension ('MATRIX', 9) response.py:450
                  not found.")available: None 'EBOUNDS' 'SPECRESP MATRIX' 'SPECRESP MATRIX'                        
                  'SPECRESP MATRIX' 'SPECRESP MATRIX' 'SPECRESP MATRIX' 'SPECRESP MATRIX' 'SPECRESP                
                  MATRIX' 'SPECRESP MATRIX' 'SPECRESP MATRIX' 'SPECRESP MATRIX'                                    
         WARNING   No TLMIN keyword found. This DRM does not follow OGIP standards. Assuming        response.py:576
                  TLMIN=1                                                                                          
         WARNING   Minimum MC energy (5.0) is larger than minimum EBOUNDS energy                    response.py:133
                  (4.410999774932861)                                                                              
         WARNING   The default choice for MATRIX extension failed:KeyError("Extension ('MATRIX',    response.py:450
                  10) not found.")available: None 'EBOUNDS' 'SPECRESP MATRIX' 'SPECRESP MATRIX'                    
                  'SPECRESP MATRIX' 'SPECRESP MATRIX' 'SPECRESP MATRIX' 'SPECRESP MATRIX' 'SPECRESP                
                  MATRIX' 'SPECRESP MATRIX' 'SPECRESP MATRIX' 'SPECRESP MATRIX'                                    
         WARNING   No TLMIN keyword found. This DRM does not follow OGIP standards. Assuming        response.py:576
                  TLMIN=1                                                                                          
         WARNING   Minimum MC energy (5.0) is larger than minimum EBOUNDS energy                    response.py:133
                  (4.410999774932861)                                                                              
         WARNING   Minimum MC energy (5.0) is larger than minimum EBOUNDS energy                    response.py:133
                  (4.410999774932861)                                                                              
         INFO      Successfully restored fit from n9_bkg.h5                              time_series_builder.py:166
         WARNING   Minimum MC energy (5.0) is larger than minimum EBOUNDS energy                    response.py:133
                  (4.410999774932861)                                                                              
         INFO      Interval set to 0.0-100.0 for n9                                      time_series_builder.py:274
         INFO      Auto-probed noise models:                                                    SpectrumLike.py:486
         INFO      - observation: poisson                                                       SpectrumLike.py:487
         INFO      - background: gaussian                                                       SpectrumLike.py:488
         INFO      Range 40-900 translates to channels 27-124                                  SpectrumLike.py:1237
         INFO      Now using 98 bins                                                           SpectrumLike.py:1706
         WARNING   The default choice for MATRIX extension failed:KeyError("Extension ('MATRIX', 1) response.py:450
                  not found.")available: None 'EBOUNDS' 'SPECRESP MATRIX' 'SPECRESP MATRIX'                        
                  'SPECRESP MATRIX' 'SPECRESP MATRIX' 'SPECRESP MATRIX' 'SPECRESP MATRIX' 'SPECRESP                
                  MATRIX' 'SPECRESP MATRIX' 'SPECRESP MATRIX' 'SPECRESP MATRIX'                                    
         WARNING   No TLMIN keyword found. This DRM does not follow OGIP standards. Assuming        response.py:576
                  TLMIN=1                                                                                          

WARNING RuntimeWarning: invalid value encountered in divide


WARNING RuntimeWarning: invalid value encountered in divide

06:29:42 WARNING   The default choice for MATRIX extension failed:KeyError("Extension ('MATRIX', 1) response.py:450
                  not found.")available: None 'EBOUNDS' 'SPECRESP MATRIX' 'SPECRESP MATRIX'                        
                  'SPECRESP MATRIX' 'SPECRESP MATRIX' 'SPECRESP MATRIX' 'SPECRESP MATRIX' 'SPECRESP                
                  MATRIX' 'SPECRESP MATRIX' 'SPECRESP MATRIX' 'SPECRESP MATRIX'                                    
         WARNING   No TLMIN keyword found. This DRM does not follow OGIP standards. Assuming        response.py:576
                  TLMIN=1                                                                                          
         WARNING   The default choice for MATRIX extension failed:KeyError("Extension ('MATRIX', 2) response.py:450
                  not found.")available: None 'EBOUNDS' 'SPECRESP MATRIX' 'SPECRESP MATRIX'                        
                  'SPECRESP MATRIX' 'SPECRESP MATRIX' 'SPECRESP MATRIX' 'SPECRESP MATRIX' 'SPECRESP                
                  MATRIX' 'SPECRESP MATRIX' 'SPECRESP MATRIX' 'SPECRESP MATRIX'                                    
         WARNING   No TLMIN keyword found. This DRM does not follow OGIP standards. Assuming        response.py:576
                  TLMIN=1                                                                                          
         WARNING   The default choice for MATRIX extension failed:KeyError("Extension ('MATRIX', 3) response.py:450
                  not found.")available: None 'EBOUNDS' 'SPECRESP MATRIX' 'SPECRESP MATRIX'                        
                  'SPECRESP MATRIX' 'SPECRESP MATRIX' 'SPECRESP MATRIX' 'SPECRESP MATRIX' 'SPECRESP                
                  MATRIX' 'SPECRESP MATRIX' 'SPECRESP MATRIX' 'SPECRESP MATRIX'                                    
         WARNING   No TLMIN keyword found. This DRM does not follow OGIP standards. Assuming        response.py:576
                  TLMIN=1                                                                                          
         WARNING   The default choice for MATRIX extension failed:KeyError("Extension ('MATRIX', 4) response.py:450
                  not found.")available: None 'EBOUNDS' 'SPECRESP MATRIX' 'SPECRESP MATRIX'                        
                  'SPECRESP MATRIX' 'SPECRESP MATRIX' 'SPECRESP MATRIX' 'SPECRESP MATRIX' 'SPECRESP                
                  MATRIX' 'SPECRESP MATRIX' 'SPECRESP MATRIX' 'SPECRESP MATRIX'                                    
         WARNING   No TLMIN keyword found. This DRM does not follow OGIP standards. Assuming        response.py:576
                  TLMIN=1                                                                                          
         WARNING   The default choice for MATRIX extension failed:KeyError("Extension ('MATRIX', 5) response.py:450
                  not found.")available: None 'EBOUNDS' 'SPECRESP MATRIX' 'SPECRESP MATRIX'                        
                  'SPECRESP MATRIX' 'SPECRESP MATRIX' 'SPECRESP MATRIX' 'SPECRESP MATRIX' 'SPECRESP                
                  MATRIX' 'SPECRESP MATRIX' 'SPECRESP MATRIX' 'SPECRESP MATRIX'                                    
         WARNING   No TLMIN keyword found. This DRM does not follow OGIP standards. Assuming        response.py:576
                  TLMIN=1                                                                                          
         WARNING   The default choice for MATRIX extension failed:KeyError("Extension ('MATRIX', 6) response.py:450
                  not found.")available: None 'EBOUNDS' 'SPECRESP MATRIX' 'SPECRESP MATRIX'                        
                  'SPECRESP MATRIX' 'SPECRESP MATRIX' 'SPECRESP MATRIX' 'SPECRESP MATRIX' 'SPECRESP                
                  MATRIX' 'SPECRESP MATRIX' 'SPECRESP MATRIX' 'SPECRESP MATRIX'                                    
         WARNING   No TLMIN keyword found. This DRM does not follow OGIP standards. Assuming        response.py:576
                  TLMIN=1                                                                                          
         WARNING   The default choice for MATRIX extension failed:KeyError("Extension ('MATRIX', 7) response.py:450
                  not found.")available: None 'EBOUNDS' 'SPECRESP MATRIX' 'SPECRESP MATRIX'                        
                  'SPECRESP MATRIX' 'SPECRESP MATRIX' 'SPECRESP MATRIX' 'SPECRESP MATRIX' 'SPECRESP                
                  MATRIX' 'SPECRESP MATRIX' 'SPECRESP MATRIX' 'SPECRESP MATRIX'                                    
         WARNING   No TLMIN keyword found. This DRM does not follow OGIP standards. Assuming        response.py:576
                  TLMIN=1                                                                                          
         WARNING   The default choice for MATRIX extension failed:KeyError("Extension ('MATRIX', 8) response.py:450
                  not found.")available: None 'EBOUNDS' 'SPECRESP MATRIX' 'SPECRESP MATRIX'                        
                  'SPECRESP MATRIX' 'SPECRESP MATRIX' 'SPECRESP MATRIX' 'SPECRESP MATRIX' 'SPECRESP                
                  MATRIX' 'SPECRESP MATRIX' 'SPECRESP MATRIX' 'SPECRESP MATRIX'                                    
         WARNING   No TLMIN keyword found. This DRM does not follow OGIP standards. Assuming        response.py:576
                  TLMIN=1                                                                                          
         WARNING   The default choice for MATRIX extension failed:KeyError("Extension ('MATRIX', 9) response.py:450
                  not found.")available: None 'EBOUNDS' 'SPECRESP MATRIX' 'SPECRESP MATRIX'                        
                  'SPECRESP MATRIX' 'SPECRESP MATRIX' 'SPECRESP MATRIX' 'SPECRESP MATRIX' 'SPECRESP                
                  MATRIX' 'SPECRESP MATRIX' 'SPECRESP MATRIX' 'SPECRESP MATRIX'                                    
         WARNING   No TLMIN keyword found. This DRM does not follow OGIP standards. Assuming        response.py:576
                  TLMIN=1                                                                                          
         WARNING   The default choice for MATRIX extension failed:KeyError("Extension ('MATRIX',    response.py:450
                  10) not found.")available: None 'EBOUNDS' 'SPECRESP MATRIX' 'SPECRESP MATRIX'                    
                  'SPECRESP MATRIX' 'SPECRESP MATRIX' 'SPECRESP MATRIX' 'SPECRESP MATRIX' 'SPECRESP                
                  MATRIX' 'SPECRESP MATRIX' 'SPECRESP MATRIX' 'SPECRESP MATRIX'                                    
         WARNING   No TLMIN keyword found. This DRM does not follow OGIP standards. Assuming        response.py:576
                  TLMIN=1                                                                                          
         INFO      Auto-determined polynomial order: 2                                binned_spectrum_series.py:356
06:29:49 INFO      None 2-order polynomial fit with the mle method                               time_series.py:426
         INFO      Saved fitted background to b1_bkg.h5                                          time_series.py:972
         INFO      Saved background to b1_bkg.h5                                         time_series_builder.py:430
         WARNING   The TTE file                                                                      gbm_data.py:38
                  /home/runner/work/threeML/threeML/docs/md_docs/slow_execute/glg_tte_b1_bn130427324               
                  _v00.fit.gz contains duplicate time tags and is thus invalid. Contact the FSSC                   
         WARNING   The default choice for MATRIX extension failed:KeyError("Extension ('MATRIX', 1) response.py:450
                  not found.")available: None 'EBOUNDS' 'SPECRESP MATRIX' 'SPECRESP MATRIX'                        
                  'SPECRESP MATRIX' 'SPECRESP MATRIX' 'SPECRESP MATRIX' 'SPECRESP MATRIX' 'SPECRESP                
                  MATRIX' 'SPECRESP MATRIX' 'SPECRESP MATRIX' 'SPECRESP MATRIX'                                    
         WARNING   No TLMIN keyword found. This DRM does not follow OGIP standards. Assuming        response.py:576
                  TLMIN=1                                                                                          
         WARNING   The default choice for MATRIX extension failed:KeyError("Extension ('MATRIX', 2) response.py:450
                  not found.")available: None 'EBOUNDS' 'SPECRESP MATRIX' 'SPECRESP MATRIX'                        
                  'SPECRESP MATRIX' 'SPECRESP MATRIX' 'SPECRESP MATRIX' 'SPECRESP MATRIX' 'SPECRESP                
                  MATRIX' 'SPECRESP MATRIX' 'SPECRESP MATRIX' 'SPECRESP MATRIX'                                    
         WARNING   No TLMIN keyword found. This DRM does not follow OGIP standards. Assuming        response.py:576
                  TLMIN=1                                                                                          
         WARNING   The default choice for MATRIX extension failed:KeyError("Extension ('MATRIX', 3) response.py:450
                  not found.")available: None 'EBOUNDS' 'SPECRESP MATRIX' 'SPECRESP MATRIX'                        
                  'SPECRESP MATRIX' 'SPECRESP MATRIX' 'SPECRESP MATRIX' 'SPECRESP MATRIX' 'SPECRESP                
                  MATRIX' 'SPECRESP MATRIX' 'SPECRESP MATRIX' 'SPECRESP MATRIX'                                    
         WARNING   No TLMIN keyword found. This DRM does not follow OGIP standards. Assuming        response.py:576
                  TLMIN=1                                                                                          
         WARNING   The default choice for MATRIX extension failed:KeyError("Extension ('MATRIX', 4) response.py:450
                  not found.")available: None 'EBOUNDS' 'SPECRESP MATRIX' 'SPECRESP MATRIX'                        
                  'SPECRESP MATRIX' 'SPECRESP MATRIX' 'SPECRESP MATRIX' 'SPECRESP MATRIX' 'SPECRESP                
                  MATRIX' 'SPECRESP MATRIX' 'SPECRESP MATRIX' 'SPECRESP MATRIX'                                    
         WARNING   No TLMIN keyword found. This DRM does not follow OGIP standards. Assuming        response.py:576
                  TLMIN=1                                                                                          
         WARNING   The default choice for MATRIX extension failed:KeyError("Extension ('MATRIX', 5) response.py:450
                  not found.")available: None 'EBOUNDS' 'SPECRESP MATRIX' 'SPECRESP MATRIX'                        
                  'SPECRESP MATRIX' 'SPECRESP MATRIX' 'SPECRESP MATRIX' 'SPECRESP MATRIX' 'SPECRESP                
                  MATRIX' 'SPECRESP MATRIX' 'SPECRESP MATRIX' 'SPECRESP MATRIX'                                    
         WARNING   No TLMIN keyword found. This DRM does not follow OGIP standards. Assuming        response.py:576
                  TLMIN=1                                                                                          
         WARNING   The default choice for MATRIX extension failed:KeyError("Extension ('MATRIX', 6) response.py:450
                  not found.")available: None 'EBOUNDS' 'SPECRESP MATRIX' 'SPECRESP MATRIX'                        
                  'SPECRESP MATRIX' 'SPECRESP MATRIX' 'SPECRESP MATRIX' 'SPECRESP MATRIX' 'SPECRESP                
                  MATRIX' 'SPECRESP MATRIX' 'SPECRESP MATRIX' 'SPECRESP MATRIX'                                    
06:29:50 WARNING   No TLMIN keyword found. This DRM does not follow OGIP standards. Assuming        response.py:576
                  TLMIN=1                                                                                          
         WARNING   The default choice for MATRIX extension failed:KeyError("Extension ('MATRIX', 7) response.py:450
                  not found.")available: None 'EBOUNDS' 'SPECRESP MATRIX' 'SPECRESP MATRIX'                        
                  'SPECRESP MATRIX' 'SPECRESP MATRIX' 'SPECRESP MATRIX' 'SPECRESP MATRIX' 'SPECRESP                
                  MATRIX' 'SPECRESP MATRIX' 'SPECRESP MATRIX' 'SPECRESP MATRIX'                                    
         WARNING   No TLMIN keyword found. This DRM does not follow OGIP standards. Assuming        response.py:576
                  TLMIN=1                                                                                          
         WARNING   The default choice for MATRIX extension failed:KeyError("Extension ('MATRIX', 8) response.py:450
                  not found.")available: None 'EBOUNDS' 'SPECRESP MATRIX' 'SPECRESP MATRIX'                        
                  'SPECRESP MATRIX' 'SPECRESP MATRIX' 'SPECRESP MATRIX' 'SPECRESP MATRIX' 'SPECRESP                
                  MATRIX' 'SPECRESP MATRIX' 'SPECRESP MATRIX' 'SPECRESP MATRIX'                                    
         WARNING   No TLMIN keyword found. This DRM does not follow OGIP standards. Assuming        response.py:576
                  TLMIN=1                                                                                          
         WARNING   The default choice for MATRIX extension failed:KeyError("Extension ('MATRIX', 9) response.py:450
                  not found.")available: None 'EBOUNDS' 'SPECRESP MATRIX' 'SPECRESP MATRIX'                        
                  'SPECRESP MATRIX' 'SPECRESP MATRIX' 'SPECRESP MATRIX' 'SPECRESP MATRIX' 'SPECRESP                
                  MATRIX' 'SPECRESP MATRIX' 'SPECRESP MATRIX' 'SPECRESP MATRIX'                                    
         WARNING   No TLMIN keyword found. This DRM does not follow OGIP standards. Assuming        response.py:576
                  TLMIN=1                                                                                          
         WARNING   The default choice for MATRIX extension failed:KeyError("Extension ('MATRIX',    response.py:450
                  10) not found.")available: None 'EBOUNDS' 'SPECRESP MATRIX' 'SPECRESP MATRIX'                    
                  'SPECRESP MATRIX' 'SPECRESP MATRIX' 'SPECRESP MATRIX' 'SPECRESP MATRIX' 'SPECRESP                
                  MATRIX' 'SPECRESP MATRIX' 'SPECRESP MATRIX' 'SPECRESP MATRIX'                                    
         WARNING   No TLMIN keyword found. This DRM does not follow OGIP standards. Assuming        response.py:576
                  TLMIN=1                                                                                          
         INFO      Successfully restored fit from b1_bkg.h5                              time_series_builder.py:166
         INFO      Interval set to 0.0-100.0 for b1                                      time_series_builder.py:274
         INFO      Auto-probed noise models:                                                    SpectrumLike.py:486
         INFO      - observation: poisson                                                       SpectrumLike.py:487
         INFO      - background: gaussian                                                       SpectrumLike.py:488
         INFO      Range 900-30000 translates to channels 20-119                               SpectrumLike.py:1237
         INFO      Now using 100 bins                                                          SpectrumLike.py:1706
[6]:
time_series["n6"].view_lightcurve(-10, 100)
time_series["n9"].view_lightcurve(-10, 100)
time_series["b1"].view_lightcurve(-10, 100)
[6]:
../_images/notebooks_grb_130427A_GBM%2BLAT_7_0.png
../_images/notebooks_grb_130427A_GBM%2BLAT_7_1.png
../_images/notebooks_grb_130427A_GBM%2BLAT_7_2.png
../_images/notebooks_grb_130427A_GBM%2BLAT_7_3.png

Prepare LLE data

[7]:
lle_dload = download_LLE_trigger_data(trigger_name)
[8]:
bkg_selection = ["-285--41", "400-500"]
emin, emax = 30 * u.MeV, 100 * u.MeV
lle_time_series = TimeSeriesBuilder.from_lat_lle(
    "lat_lle",
    lle_file=lle_dload["lle"],
    ft2_file=lle_dload["ft2"],
    rsp_file=lle_dload["rsp"],
)
lle_time_series.set_background_interval(*bkg_selection)
lle_time_series.save_background("lle_bkg.h5", overwrite=True)

lle_time_series.set_active_time_interval("%d-%d" % (tstart, tstop))

lle_plugin = lle_time_series.to_spectrumlike()
lle_plugin.set_active_measurements(
    "%d-%d" % (emin.to("keV").value, emax.to("keV").value)
)
lle_plugin.use_effective_area_correction(0.8, 1.2)
06:29:52 WARNING   The default choice for MATRIX extension failed:KeyError("Extension ('MATRIX', 1) response.py:450
                  not found.")available: None 'EBOUNDS' 'SPECRESP MATRIX'                                          
         INFO      Auto-determined polynomial order: 2                                            event_list.py:505
06:29:55 INFO      None 2-order polynomial fit with the mle method                               time_series.py:426
         INFO      Saved fitted background to lle_bkg.h5                                         time_series.py:972
         INFO      Saved background to lle_bkg.h5                                        time_series_builder.py:430
         INFO      Interval set to 0.0-100.0 for lat_lle                                 time_series_builder.py:274
         INFO      Auto-probed noise models:                                                    SpectrumLike.py:486
         INFO      - observation: poisson                                                       SpectrumLike.py:487
         INFO      - background: gaussian                                                       SpectrumLike.py:488
         INFO      Range 30000-100000 translates to channels 5-12                              SpectrumLike.py:1237
         INFO      lat_lle is using effective area correction (between 0.8 and 1.2)            SpectrumLike.py:2224
[9]:
lle_time_series.view_lightcurve(-100, 500)
[9]:
../_images/notebooks_grb_130427A_GBM%2BLAT_11_0.png
../_images/notebooks_grb_130427A_GBM%2BLAT_11_1.png

Prepare LAT data

[10]:
LATdataset = LAT_dataset()

LATdataset.make_LAT_dataset(
    ra=ra,
    dec=dec,
    radius=12,
    trigger_time=met,
    tstart=0,
    tstop=1000,
    data_type="Extended",
    destination_directory=".",
    Emin=100.0,  # 100 MeV
    Emax=100000.0,  # 100 GeV
)
         INFO      Query parameters:                                                       download_LAT_data.py:255
         INFO                          coordfield = 173.1360,27.7129                       download_LAT_data.py:258
         INFO                         coordsystem = J2000                                  download_LAT_data.py:258
         INFO                          shapefield = 12                                     download_LAT_data.py:258
         INFO                           timefield = 388741629.42,388742629.42              download_LAT_data.py:258
         INFO                            timetype = MET                                    download_LAT_data.py:258
         INFO                         energyfield = 100.000,100000.000                     download_LAT_data.py:258
         INFO              photonOrExtendedOrNone = Extended                               download_LAT_data.py:258
         INFO                         destination = query                                  download_LAT_data.py:258
         INFO                          spacecraft = checked                                download_LAT_data.py:258
         INFO      Query ID: ec3bd58c9484a4abd12bcf252f186da3                              download_LAT_data.py:262
06:29:56 INFO      Estimated complete time for your query: 16 seconds                      download_LAT_data.py:395
         INFO      If this download fails, you can find your data at                       download_LAT_data.py:404
                  https://fermi.gsfc.nasa.gov/cgi-bin/ssc/LAT/QueryResults.cgi?id=L2604300                         
                  229574CC8A8EB97 (when ready)                                                                     
         INFO      We are gonna wait another 5.0s and retry                                download_LAT_data.py:461
06:30:02 INFO      We are gonna wait another 5.0s and retry                                download_LAT_data.py:461
06:30:07 INFO      Downloading FT1 and FT2 files...                                        download_LAT_data.py:474
06:30:08 INFO      ['https://fermi.gsfc.nasa.gov/FTP/fermi/data/lat/queries/L2604300229574 download_LAT_data.py:477
                  CC8A8EB97_EV00.fits',                                                                            
                  'https://fermi.gsfc.nasa.gov/FTP/fermi/data/lat/queries/L2604300229574CC                         
                  8A8EB97_SC00.fits']                                                                              
         WARNING   Only one FT1 file provided. Skipping the merge...                        download_LAT_data.py:87
Writing ./bn130427324/gll_cspec_tr_bn130427324_v00.rsp...
time -p gtselect infile=./bn130427324/gll_ft1_tr_bn130427324_v00.fit outfile=__temp_ft1.fits ra=173.136 dec=27.7129 rad=15.0 tmin=388741628.42 tmax=388742630.42 emin=10.0 emax=1000000.0 zmin=0.0 zmax=110.0 evclass="INDEF" evtype="INDEF" convtype=-1 phasemin=0.0 phasemax=1.0 evtable="EVENTS" chatter=2 clobber=yes debug=no gui=no mode="ql"
Done.
real 0.05
user 0.05
sys 0.00
Writing ./bn130427324/gll_cspec_tr_bn130427324_v00.pha...
 *  Get energy binning from the response matrix...

    done.

 *  Run gtbindef and gtbin and bin in energy and time...

time -p gtbindef bintype="E" binfile=__ebins.txt outfile=__energyBins.fits energyunits="keV" chatter=2 clobber=yes debug=no gui=no mode="ql"
This is gtbindef version HEAD
real 0.00
user 0.00
sys 0.00
time -p gtbin evfile=/home/runner/work/threeML/threeML/docs/md_docs/slow_execute/__temp_ft1.fits scfile=/home/runner/work/threeML/threeML/docs/md_docs/slow_execute/bn130427324/gll_ft2_tr_bn130427324_v00.fit outfile=__gtllebin__pha2.pha algorithm="PHA2" ebinalg="FILE" emin=30.0 emax=200000.0 enumbins=0 denergy=0.0 ebinfile=__energyBins.fits tbinalg="LIN" tstart=388741629.42 tstop=388742629.42 dtime=4.096 tbinfile=NONE snratio=0.0 lcemin=0.0 lcemax=0.0 nxpix=0 nypix=0 binsz=0.0 coordsys="CEL" xref=0.0 yref=0.0 axisrot=0.0 rafield="RA" decfield="DEC" proj="AIT" hpx_ordering_scheme="RING" hpx_order=3 hpx_ebin=yes hpx_region="" evtable="EVENTS" sctable="SC_DATA" efield="ENERGY" tfield="TIME" chatter=1 clobber=yes debug=no gui=no mode="ql"
This is gtbin version HEAD
real 1.91
user 1.83
sys 0.08

    done.

 *  Transform gtbin output in CSPEC format...

    done.

 *  Updating keywords in the headers of the CSPEC file...

    done.

gtllebin done!
[11]:
LATdataset.extract_events(roi, zmax, irf)

with fits.open(LATdataset.filt_file) as event_file:
    lat_events = event_file["EVENTS"].data
event_times = lat_events["TIME"] - met

%matplotlib inline
fig, axs = plt.subplots(2, 1, sharex=True)
plt.sca(axs[0])
plt.hist(event_times)
plt.ylabel("Events")
plt.sca(axs[1])
plt.scatter(
    event_times,
    lat_events["ENERGY"],
    marker="o",
    c=lat_events["ENERGY"],
    norm="log",
    alpha=0.5,
    zorder=20,
)
plt.yscale("log")
plt.ylabel("Energy [MeV]")
plt.xlabel("Time - T0 [s]")
plt.grid(True)
plt.show()
time -p gtmktime scfile=/home/runner/work/threeML/threeML/docs/md_docs/slow_execute/bn130427324/gll_ft2_tr_bn130427324_v00.fit sctable="SC_DATA" filter="(DATA_QUAL>0 || DATA_QUAL==-1) && LAT_CONFIG==1 && IN_SAA!=T && LIVETIME>0 && (ANGSEP(RA_ZENITH,DEC_ZENITH,173.136,27.7129)<=(100.0-10))" roicut=no evfile=/home/runner/work/threeML/threeML/docs/md_docs/slow_execute/bn130427324/gll_ft1_tr_bn130427324_v00.fit evtable="EVENTS" outfile="gll_ft1_tr_bn130427324_v00_mkt.fit" apply_filter=yes overwrite=no header_obstimes=yes tstart=388741629.42 tstop=388742629.42 gtifile="default" chatter=2 clobber=yes debug=no gui=no mode="ql"
real 0.03
user 0.03
sys 0.00

Using 305 data

time -p gtselect infile=gll_ft1_tr_bn130427324_v00_mkt.fit outfile=gll_ft1_tr_bn130427324_v00_filt.fit ra=173.136 dec=27.7129 rad=10.0 tmin=388741629.42 tmax=388742629.42 emin=100.0 emax=100000.0 zmin=0.0 zmax=100.0 evclass=32 evtype=3 convtype=-1 phasemin=0.0 phasemax=1.0 evtable="EVENTS" chatter=2 clobber=yes debug=no gui=no mode="ql"
Done.
real 0.05
user 0.04
sys 0.00

Selected 540 events.
06:30:10 INFO      Extracted 540 events                                                    download_LAT_data.py:640
../_images/notebooks_grb_130427A_GBM%2BLAT_14_2.png
[12]:
analysis_builder = TransientLATDataBuilder(
    LATdataset.grb_name,
    outfile=LATdataset.grb_name,
    roi=roi,
    tstarts="%d" % tstart,
    tstops="%d" % tstop,
    irf=irf,
    zmax=zmax,
    galactic_model="template",
    particle_model="isotr template",
    datarepository=".",
)
df = analysis_builder.display(get=True)
outfile                      130427324
roi                                 10
tstarts                              0
tstops                             100
zmax                             100.0
emin                             100.0
emax                          100000.0
irf                   p8_transient010e
galactic_model                template
particle_model          isotr template
source_model                 PowerLaw2
tsmin                             20.0
strategy                          time
thetamax                         180.0
spectralfiles                       no
liketype                      unbinned
optimizeposition                    no
datarepository                       .
ltcube
expomap
ulphindex                           -2
flemin                             100
flemax                           10000
fgl_mode                          fast
filter_GTI                       False
likelihood_profile               False
remove_fits_files                False
dtype: object
[13]:
LAT_observations = analysis_builder.run(recompute_intervals=True)
LAT_plugin = LAT_observations[0].to_LATLike()
06:30:11 INFO      Changing permission to                                              lat_transient_builder.py:719
                  /home/runner/miniconda3/envs/test_env/lib/python3.11/site-packages/f                             
                  ermitools/GtBurst/scripts/doTimeResolvedLike.py                                                  
         INFO      Changing permission to                                              lat_transient_builder.py:719
                  /home/runner/miniconda3/envs/test_env/lib/python3.11/site-packages/f                             
                  ermitools/GtBurst/gtapps_mp/gtdiffrsp_mp.py                                                      
         INFO      Changing permission to                                              lat_transient_builder.py:719
                  /home/runner/miniconda3/envs/test_env/lib/python3.11/site-packages/f                             
                  ermitools/GtBurst/gtapps_mp/gtexpmap_mp.py                                                       
         INFO      Changing permission to                                              lat_transient_builder.py:719
                  /home/runner/miniconda3/envs/test_env/lib/python3.11/site-packages/f                             
                  ermitools/GtBurst/gtapps_mp/gtltcube_mp.py                                                       
         INFO      Changing permission to                                              lat_transient_builder.py:719
                  /home/runner/miniconda3/envs/test_env/lib/python3.11/site-packages/f                             
                  ermitools/GtBurst/gtapps_mp/gttsmap_mp.py                                                        
         INFO      About to run the following command:                                 lat_transient_builder.py:724
                  /home/runner/miniconda3/envs/test_env/lib/python3.11/site-packages/f                             
                  ermitools/GtBurst/scripts/doTimeResolvedLike.py 130427324 --outfile                              
                  '130427324' --roi 10.000000 --tstarts '0' --tstops '100' --zmax                                  
                  100.000000 --emin 100.000000 --emax 100000.000000 --irf                                          
                  'p8_transient010e' --galactic_model 'template' --particle_model                                  
                  'isotr template' --source_model 'PowerLaw2' --tsmin 20.000000                                    
                  --strategy 'time' --thetamax 180.000000 --spectralfiles 'no'                                     
                  --liketype 'unbinned' --optimizeposition 'no' --datarepository '.'                               
                  --ltcube '' --expomap '' --ulphindex -2.000000 --flemin 100.000000                               
                  --flemax 10000.000000 --fgl_mode 'fast'                                                          
         INFO      You have choosen to recompute the time intervals in this folder     lat_transient_builder.py:736
         INFO      The older entries will be moved to                                  lat_transient_builder.py:742
                  tmp_e93f0822-fc46-433d-99de-702e28e8be46                                                         
 **********
 **    1 **SET PRINT     .000
 **********
 **********
 **    2 **SET NOWARN
 **********

 PARAMETER DEFINITIONS:
    NO.   NAME         VALUE      STEP SIZE      LIMITS
     1 'Integral  '    .10000E-01   1.0000         .10000E-04   1000.0
     2 'Index     '   -2.0000       1.0000        -6.0000       .10000E-01
     3 'Value     '    1.0000       1.0000         .70000       1.3000
     4 'Normalizat'    1.0000       1.0000         .10000       10.000
 **********
 **    3 **SET ERR    .5000
 **********
 **********
 **    4 **SET GRAD    1.000
 **********
 **********
 **    5 **MINIMIZE    600.0       2.000
 **********

 MIGRAD MINIMIZATION HAS CONVERGED.

 MIGRAD WILL VERIFY CONVERGENCE AND ERROR MATRIX.

 FCN=   771.6132     FROM MIGRAD    STATUS=CONVERGED     73 CALLS       74 TOTAL
                     EDM=   .65E-05    STRATEGY= 1      ERROR MATRIX ACCURATE

  EXT PARAMETER                                   STEP         FIRST
  NO.   NAME        VALUE          ERROR          SIZE      DERIVATIVE
   1  Integral      .65236        .45023E-01    .10465E-02   -.98858
   2  Index        -1.9023        .57046E-01    .12103E-01   -.50613E-01
   3  Value         1.0010        .14592        .30825       -.20057E-02
   4  Normalizat   10.0000        7.4921        .45249       -.90524E-03
                               ERR DEF=  .500
Final values:
  Integral   = 0.652365
  Index      = -1.90233
  Value      = 1.00099
  Normalizat = 9.99999
 **********
 **    6 **HESSE
 **********

 FCN=   771.6132     FROM HESSE     STATUS=OK            23 CALLS       97 TOTAL
                     EDM=   .63E-05    STRATEGY= 1      ERROR MATRIX ACCURATE

  EXT PARAMETER                                INTERNAL      INTERNAL
  NO.   NAME        VALUE          ERROR       STEP SIZE       VALUE
   1  Integral      .65236        .44904E-01    .46267E-05   -1.5197
   2  Index        -1.9023        .56932E-01    .53508E-04    .37215
   3  Value         1.0010        .14382        .13784E-02    .33048E-02
   4  Normalizat   10.0000        7.5269        .21625E-01    1.5685
                               ERR DEF=  .500
Minuit fit quality: 3   estimated distance: 6.33536e-06
Minuit parameter uncertainties:
  1  0.0449045
  2  0.0569358
  3  0.149989
  4  0.0186867

Requested intervals:
------------------------------------------------------
0.0                  - 100.0

Data files:
-----------
eventfile            /home/runner/work/threeML/threeML/docs/md_docs/slow_execute/bn130427324/gll_ft1_tr_bn130427324_v00.fit
ft2file              /home/runner/work/threeML/threeML/docs/md_docs/slow_execute/bn130427324/gll_ft2_tr_bn130427324_v00.fit
rspfile              /home/runner/work/threeML/threeML/docs/md_docs/slow_execute/bn130427324/gll_cspec_tr_bn130427324_v00.rsp
cspecfile            /home/runner/work/threeML/threeML/docs/md_docs/slow_execute/bn130427324/gll_cspec_tr_bn130427324_v00.pha

ROI:
-----
R.A.                 173.136
Dec.                 27.7129
Radius               10.0

Interval # 1 (0.0-100.0):
-----------------------

-> gtdocountsmap.py rad='10.0' eventfile='/home/runner/work/threeML/threeML/docs/md_docs/slow_execute/bn130427324/gll_ft1_tr_bn130427324_v00.fit' zmax='100.0' thetamax='180.0' emin='100.0' emax='100000.0' skymap='130427324_LAT_skymap_0.0-100.0.fit' rspfile='/home/runner/work/threeML/threeML/docs/md_docs/slow_execute/bn130427324/gll_cspec_tr_bn130427324_v00.rsp' strategy='time' ft2file='/home/runner/work/threeML/threeML/docs/md_docs/slow_execute/bn130427324/gll_ft2_tr_bn130427324_v00.fit' tstart='0.0' tstop='100.0' ra='173.136' dec='27.7129' irf='p8_transient010e' allowEmpty='no'
time -p gtmktime scfile=/home/runner/work/threeML/threeML/docs/md_docs/slow_execute/bn130427324/gll_ft2_tr_bn130427324_v00.fit sctable="SC_DATA" filter="(DATA_QUAL>0 || DATA_QUAL==-1) && LAT_CONFIG==1 && IN_SAA!=T && LIVETIME>0 && (ANGSEP(RA_ZENITH,DEC_ZENITH,173.136,27.7129)<=(100.0-10.0))" roicut=no evfile=/home/runner/work/threeML/threeML/docs/md_docs/slow_execute/bn130427324/gll_ft1_tr_bn130427324_v00.fit evtable="EVENTS" outfile="gll_ft1_tr_bn130427324_v00_mkt.fit" apply_filter=yes overwrite=no header_obstimes=yes tstart=388741629.42 tstop=388741729.42 gtifile="default" chatter=2 clobber=yes debug=no gui=no mode="ql"
real 0.03
user 0.03
sys 0.00

Using 305 data

time -p gtselect infile=gll_ft1_tr_bn130427324_v00_mkt.fit outfile=gll_ft1_tr_bn130427324_v00_filt.fit ra=173.136 dec=27.7129 rad=10.0 tmin=388741629.42 tmax=388741729.42 emin=100.0 emax=100000.0 zmin=0.0 zmax=100.0 evclass=32 evtype=3 convtype=-1 phasemin=0.0 phasemax=1.0 evtable="EVENTS" chatter=2 clobber=yes debug=no gui=no mode="ql"
Done.
real 0.05
user 0.04
sys 0.00

Selected 233 events.
time -p gtbin evfile=gll_ft1_tr_bn130427324_v00_filt.fit scfile=/home/runner/work/threeML/threeML/docs/md_docs/slow_execute/bn130427324/gll_ft2_tr_bn130427324_v00.fit outfile=130427324_LAT_skymap_0.0-100.0.fit algorithm="CMAP" ebinalg="LOG" emin=30.0 emax=200000.0 ebinfile=NONE tbinalg="LIN" tbinfile=NONE nxpix=101 nypix=101 binsz=0.2 coordsys="CEL" xref=173.136 yref=27.7129 axisrot=0.0 rafield="RA" decfield="DEC" proj="AIT" hpx_ordering_scheme="RING" hpx_order=3 hpx_ebin=yes hpx_region="" evtable="EVENTS" sctable="SC_DATA" efield="ENERGY" tfield="TIME" chatter=2 clobber=yes debug=no gui=no mode="ql"
This is gtbin version HEAD
real 0.05
user 0.04
sys 0.01
Counts map saved in 130427324_LAT_skymap_0.0-100.0.fit

Total number of events in the counts map: 233
Total time in Good Time Intervals:        100.0
-> gtbuildxmlmodel xmlmodel='130427324_LAT_xmlmodel_0.0-100.0.xml' filteredeventfile='gll_ft1_tr_bn130427324_v00_filt.fit' galactic_model='template' particle_model='isotr template' ra='173.136' dec='27.7129' fgl_mode='fast' ft2file='/home/runner/work/threeML/threeML/docs/md_docs/slow_execute/bn130427324/gll_ft2_tr_bn130427324_v00.fit' source_model='PowerLaw2'

Found Isotropic template for irf P8R3_TRANSIENT010E_V3: /home/runner/miniconda3/envs/test_env/share/fermitools/refdata/fermi/galdiffuse/iso_P8R3_TRANSIENT010E_V3_v1.txt

Found Galactic template for IRF. P8R3_TRANSIENT010E_V3: /home/runner/miniconda3/envs/test_env/share/fermitools/refdata/fermi/galdiffuse/gll_iem_v07.fits

Cutting the template around the ROI:

addFGLsources( 173.136 27.7129 18.0 130427324_LAT_xmlmodel_0.0-100.0.xml 100.0 )
Kept 0 point sources from the FGL catalog
-> gtdolike.py spectralfiles='no' xmlmodel='130427324_LAT_xmlmodel_0.0-100.0.xml' liketype='unbinned' filteredeventfile='gll_ft1_tr_bn130427324_v00_filt.fit' rspfile='/home/runner/work/threeML/threeML/docs/md_docs/slow_execute/bn130427324/gll_cspec_tr_bn130427324_v00.rsp' showmodelimage='no' tsmin='20.0' optimizeposition='no' ft2file='/home/runner/work/threeML/threeML/docs/md_docs/slow_execute/bn130427324/gll_ft2_tr_bn130427324_v00.fit' skymap='130427324_LAT_skymap_0.0-100.0.fit' flemin='100.000000' flemax='10000.000000'
time -p gtltcube evfile="/home/runner/work/threeML/threeML/docs/md_docs/slow_execute/interval0.0-100.0/gll_ft1_tr_bn130427324_v00_filt.fit" evtable="EVENTS" scfile=__ft2temp.fits sctable="SC_DATA" outfile=gll_ft1_tr_bn130427324_v00_filt_ltcube.fit dcostheta=0.025 binsz=1.0 phibins=1 tmin=0.0 tmax=0.0 file_version="1" zmin=0.0 zmax=180.0 chatter=2 clobber=yes debug=no gui=no mode="ql"
Working on file __ft2temp.fits
......!
real 0.34
user 0.17
sys 0.17
/home/runner/miniconda3/envs/test_env/lib/python3.11/site-packages/fermitools/GtBurst/gtapps_mp/gtexpmap_mp.py 40 40 2 2 /home/runner/work/threeML/threeML/docs/md_docs/slow_execute/bn130427324/gll_ft2_tr_bn130427324_v00.fit /home/runner/work/threeML/threeML/docs/md_docs/slow_execute/interval0.0-100.0/gll_ft1_tr_bn130427324_v00_filt.fit gll_ft1_tr_bn130427324_v00_filt_ltcube.fit P8R3_TRANSIENT010E_V3 20.0 20 gll_ft1_tr_bn130427324_v00_filt_expomap.fit
Starting calculation of region 20.0,20.0 to 40.0,40.0

Completed calculation of region 20.0,20.0 to 40.0,40.0

Starting calculation of region 0.0,0.0 to 20.0,20.0

Completed calculation of region 0.0,0.0 to 20.0,20.0

Starting calculation of region 0.0,20.0 to 20.0,40.0

Completed calculation of region 0.0,20.0 to 20.0,40.0

Starting calculation of region 20.0,0.0 to 40.0,20.0

Completed calculation of region 20.0,0.0 to 40.0,20.0

Spawning 4 jobs...

Combining temporary files...

Deleting temporary files...





time -p gtdiffrsp evfile=/home/runner/work/threeML/threeML/docs/md_docs/slow_execute/interval0.0-100.0/gll_ft1_tr_bn130427324_v00_filt.fit evtable="EVENTS" scfile=/home/runner/work/threeML/threeML/docs/md_docs/slow_execute/bn130427324/gll_ft2_tr_bn130427324_v00.fit sctable="SC_DATA" srcmdl=130427324_LAT_xmlmodel_0.0-100.0.xml irfs="P8R3_TRANSIENT010E_V3" evclsmin="INDEF" evclass="INDEF" evtype="INDEF" convert=no chatter=2 clobber=yes debug=no gui=no mode="ql"
adding source GalacticTemplate
adding source IsotropicTemplate
Working on...
/home/runner/work/threeML/threeML/docs/md_docs/slow_execute/interval0.0-100.0/gll_ft1_tr_bn130427324_v00_filt.fit......................!
real 7.70
user 7.37
sys 0.33
Loading python Likelihood interface...

Applying a Gaussian prior with sigma 0.15 on the normalization of the Galactic Template
{'Norm': 1.0, 'Mean': 1.0, 'Sigma': 0.15, 'Offset': 0.0}

Likelihood settings:

Event file(s): /home/runner/work/threeML/threeML/docs/md_docs/slow_execute/interval0.0-100.0/gll_ft1_tr_bn130427324_v00_filt.fit
Spacecraft file(s): /home/runner/work/threeML/threeML/docs/md_docs/slow_execute/bn130427324/gll_ft2_tr_bn130427324_v00.fit
Exposure map: gll_ft1_tr_bn130427324_v00_filt_expomap.fit
Exposure cube: gll_ft1_tr_bn130427324_v00_filt_ltcube.fit
IRFs: P8R3_TRANSIENT010E_V3
Source model file: 130427324_LAT_xmlmodel_0.0-100.0.xml
Optimizer: Minuit

Performing likelihood fit...
Data  233.0
srcName  228.0711654565354
srcName  0.21216428870537518
srcName  3.8519232874938027
Resid  233.0 232.13525303273457 5.00806149863562
plotting GRB spectrum
srcName  228.0711654565354
|--------------------|---------------|----------|  ----------|----------|------|
|         Source name|      Par. Name|     Value|       Error|     Units|    TS|
|--------------------|---------------|----------|------------|----------|------|
|GRB                 |               |          |            |          |  2540|
|                    |       Integral|  0.000652|    4.49e-05| ph./cm2/s|      |
|                    |          Index|      -1.9|      0.0569|         -|      |
|                    |     LowerLimit|       100|n.a. (fixed)|       MeV|      |
|                    |     UpperLimit|     1e+05|n.a. (fixed)|       MeV|      |
|                    |    Energy flux|   5.5e-07|    4.99e-08| erg/cm2/s|      |
|                    |    Photon flux|  0.000643|    4.49e-05| ph./cm2/s|      |
|GalacticTemplate    |               |          |            |          |     1|
|                    |          Value|         1|        0.15|         -|      |
|                    |    Energy flux|  3.76e-07|    5.64e-08| erg/cm2/s|      |
|                    |    Photon flux|   0.00052|    7.79e-05| ph./cm2/s|      |
|IsotropicTemplate   |               |          |            |          |     4|
|                    |  Normalization|        10|      0.0187|         -|      |
|                    |    Energy flux|  7.82e-07|    1.46e-09| erg/cm2/s|      |
|                    |    Photon flux|   0.00158|    2.96e-06| ph./cm2/s|      |
--------------------------------------------------------------------------------

*** All fluxes and upper limits have been computed in the 100.0 - 10000.0 energy range.
*** Upper limits (if any) are computed assuming a photon index of -2.0, with the 95.0 % c.l.

Log(likelihood) = 771.6131616797278
time -p gtsrcprob evfile=/home/runner/work/threeML/threeML/docs/md_docs/slow_execute/interval0.0-100.0/gll_ft1_tr_bn130427324_v00_filt.fit evtable="EVENTS" scfile=/home/runner/work/threeML/threeML/docs/md_docs/slow_execute/bn130427324/gll_ft2_tr_bn130427324_v00.fit sctable="SC_DATA" outfile=/home/runner/work/threeML/threeML/docs/md_docs/slow_execute/interval0.0-100.0/gll_ft1_tr_bn130427324_v00_filt_prob.fit srcmdl=gll_ft1_tr_bn130427324_v00_filt_likeRes.xml irfs="CALDB" evtype="INDEF" srclist= chatter=2 clobber=yes debug=no gui=no mode="ql"
real 3.65
user 3.28
sys 0.37

06:30:41 INFO      The ft2 file does not exist. Please examine!                        lat_transient_builder.py:818
         INFO      we will grab the data file for you.                                 lat_transient_builder.py:819
         INFO      copied ./bn130427324/gll_ft2_tr_bn130427324_v00.fit to              lat_transient_builder.py:838
                  interval0.0-100.0/gll_ft2_tr_bn130427324_v00.fit                                                 
FermiLATLike - GTI SUM =  100.0

Define the first model to test

[14]:
band = Band()
band.alpha.prior = Truncated_gaussian(lower_bound=-1.5, upper_bound=1, mu=-1, sigma=0.5)
band.beta.prior = Truncated_gaussian(lower_bound=-5, upper_bound=-1.6, mu=-2, sigma=0.5)
band.xp.prior = Log_normal(mu=2, sigma=1)
band.xp.bounds = (None, None)
band.K.prior = Log_uniform_prior(lower_bound=1e-10, upper_bound=1e3)
source = PointSource(trigger_name, ra, dec, spectral_shape=band)
band_model = Model(source)
06:30:41 WARNING   We have set the min_value of Band.xp to 1e-99 because there was a postive       parameter.py:715
                  transform                                                                                        
         WARNING   We have set the min_value of Band.xp to 1e-99 because there was a postive       parameter.py:715
                  transform                                                                                        

Run the joint fit

[15]:
datalist_1 = DataList(*gbm_plugins, lle_plugin, LAT_plugin)
jl_1 = JointLikelihood(band_model, datalist_1, verbose=False)
band_model.display()
print(jl_1.data_list.keys())
# This is needed to fix the galactic template to 1 (if needed)
band_model[LAT_plugin.get_name() + "_GalacticTemplate_Value"].value = 1.0
band_model[LAT_plugin.get_name() + "_GalacticTemplate_Value"].fix = True
band_model[LAT_plugin.get_name() + "_IsotropicTemplate_Normalization"].fix = False
# sbpl_model.display(complete=True)
jl_1.set_minimizer("minuit")
jl_1.fit()

Found Isotropic template for irf P8R3_TRANSIENT010E_V3: /home/runner/miniconda3/envs/test_env/share/fermitools/refdata/fermi/galdiffuse/iso_P8R3_TRANSIENT010E_V3_v1.txt

Found Galactic template for IRF. P8R3_TRANSIENT010E_V3: /home/runner/miniconda3/envs/test_env/share/fermitools/refdata/fermi/galdiffuse/gll_iem_v07.fits

Cutting the template around the ROI:

06:30:45 INFO      set the minimizer to minuit                                             joint_likelihood.py:1017
Model summary:

N
Point sources 1
Extended sources 0
Particle sources 0


Free parameters (7):

value min_value max_value unit
bn130427324.spectrum.main.Band.K 0.0001 0.0 None keV-1 s-1 cm-2
bn130427324.spectrum.main.Band.alpha -1.0 -1.5 3.0
bn130427324.spectrum.main.Band.xp 500.0 0.0 None keV
bn130427324.spectrum.main.Band.beta -2.0 -5.0 -1.6
cons_lat_lle 1.0 0.8 1.2
LAT0X100_GalacticTemplate_Value 1.0 0.5 1.5
LAT0X100_IsotropicTemplate_Normalization 1.0 0.1 5.0


Fixed parameters (6):
(abridged. Use complete=True to see all fixed parameters)


Properties (0):

(none)


Linked parameters (0):

(none)

Independent variables:

(none)

Linked functions (0):

(none)
odict_keys(['n6', 'n9', 'b1', 'lat_lle', 'LAT0X100'])
         INFO      set the minimizer to MINUIT                                             joint_likelihood.py:1034
06:30:46 WARNING   74.56 percent of samples have been thrown away because they failed the  analysis_results.py:1645
                  constraints on the parameters. This results might not be suitable for                            
                  error propagation. Enlarge the boundaries until you loose less than 1                            
                  percent of the samples.                                                                          
Best fit values:

result unit
parameter
bn130427324.spectrum.main.Band.K (1.496 +/- 0.004) x 10^-1 1 / (keV s cm2)
bn130427324.spectrum.main.Band.alpha (-9.12 +/- 0.05) x 10^-1
bn130427324.spectrum.main.Band.xp (7.76 +/- 0.07) x 10^2 keV
bn130427324.spectrum.main.Band.beta -2.837 +/- 0.011
cons_lat_lle (8.0000 +/- 0.0005) x 10^-1
LAT0X100_IsotropicTemplate_Normalization 5.000 +/- 0.018
Correlation matrix:

1.00 0.55 -0.84 0.32 -0.00 -0.00
0.55 1.00 -0.78 0.26 -0.00 -0.00
-0.84 -0.78 1.00 -0.41 0.00 0.00
0.32 0.26 -0.41 1.00 -0.00 -0.00
-0.00 -0.00 0.00 -0.00 1.00 0.00
-0.00 -0.00 0.00 -0.00 0.00 1.00
Values of -log(likelihood) at the minimum:

-log(likelihood)
n6 1109.980692
n9 1063.105290
b1 896.397958
lat_lle 85.188113
LAT0X100 1913.535513
total 5068.207566
Values of statistical measures:

statistical measures
AIC 10148.573622
BIC 10174.131120
[15]:
(                                               value  negative_error  \
 bn130427324.spectrum.main.Band.K            0.149628       -0.000386
 bn130427324.spectrum.main.Band.alpha       -0.912123       -0.004352
 bn130427324.spectrum.main.Band.xp         775.990259       -6.369709
 bn130427324.spectrum.main.Band.beta        -2.837093       -0.010239
 cons_lat_lle                                0.800000        0.000009
 LAT0X100_IsotropicTemplate_Normalization    4.999963       -0.024964

                                           positive_error     error  \
 bn130427324.spectrum.main.Band.K                0.000376  0.000381
 bn130427324.spectrum.main.Band.alpha            0.004523  0.004438
 bn130427324.spectrum.main.Band.xp               6.375007  6.372358
 bn130427324.spectrum.main.Band.beta             0.009954  0.010096
 cons_lat_lle                                    0.000068  0.000038
 LAT0X100_IsotropicTemplate_Normalization       -0.003380  0.010792

                                                      unit
 bn130427324.spectrum.main.Band.K          1 / (keV s cm2)
 bn130427324.spectrum.main.Band.alpha
 bn130427324.spectrum.main.Band.xp                     keV
 bn130427324.spectrum.main.Band.beta
 cons_lat_lle
 LAT0X100_IsotropicTemplate_Normalization                   ,
           -log(likelihood)
 n6             1109.980692
 n9             1063.105290
 b1              896.397958
 lat_lle          85.188113
 LAT0X100       1913.535513
 total          5068.207566)
[16]:
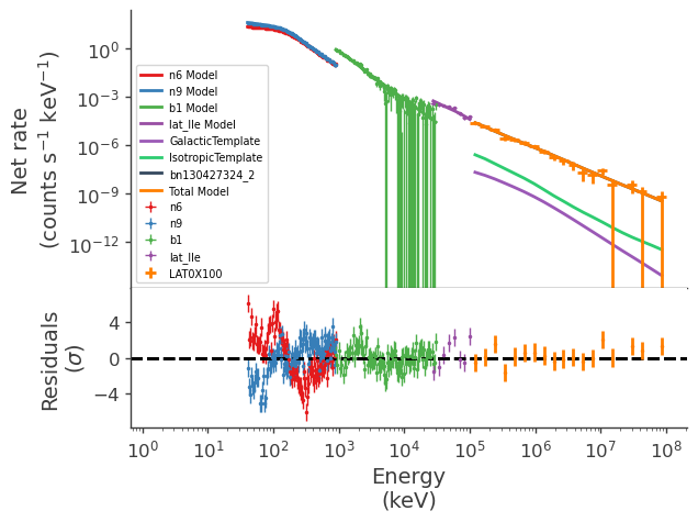
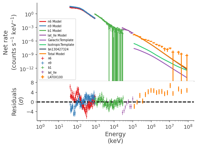
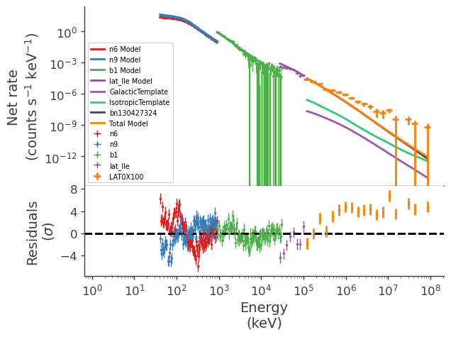
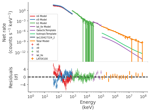
display_spectrum_model_counts(jl_1)
[16]:
../_images/notebooks_grb_130427A_GBM%2BLAT_21_0.png
../_images/notebooks_grb_130427A_GBM%2BLAT_21_1.png

Define a second model to test

[17]:
spectrum = Band() + Powerlaw()
# spectrum.K_1 = 0.1
# spectrum.break_energy_1 = 800
# spectrum.beta_1 = -3
# spectrum.K_2 = 3
source_2 = PointSource("%s_2" % trigger_name, ra, dec, spectral_shape=spectrum)
comp_model = Model(source_2)
comp_model.display()
Model summary:

N
Point sources 1
Extended sources 0
Particle sources 0


Free parameters (6):

value min_value max_value unit
bn130427324_2.spectrum.main.composite.K_1 0.0001 0.0 None keV-1 s-1 cm-2
bn130427324_2.spectrum.main.composite.alpha_1 -1.0 -1.5 3.0
bn130427324_2.spectrum.main.composite.xp_1 500.0 10.0 None keV
bn130427324_2.spectrum.main.composite.beta_1 -2.0 -5.0 -1.6
bn130427324_2.spectrum.main.composite.K_2 1.0 0.0 1000.0 keV-1 s-1 cm-2
bn130427324_2.spectrum.main.composite.index_2 -2.01 -10.0 10.0


Fixed parameters (4):
(abridged. Use complete=True to see all fixed parameters)


Properties (0):

(none)


Linked parameters (0):

(none)

Independent variables:

(none)

Linked functions (0):

(none)

Run the joint fit again

[18]:
datalist_2 = DataList(*gbm_plugins, lle_plugin, LAT_plugin)
jl_2 = JointLikelihood(comp_model, datalist_2, verbose=False)
comp_model[LAT_plugin.get_name() + "_GalacticTemplate_Value"].value = 1.0
comp_model[LAT_plugin.get_name() + "_GalacticTemplate_Value"].fix = True
comp_model[LAT_plugin.get_name() + "_IsotropicTemplate_Normalization"].fix = False
jl_2.set_minimizer("minuit")
jl_2.fit()

Found Isotropic template for irf P8R3_TRANSIENT010E_V3: /home/runner/miniconda3/envs/test_env/share/fermitools/refdata/fermi/galdiffuse/iso_P8R3_TRANSIENT010E_V3_v1.txt

Found Galactic template for IRF. P8R3_TRANSIENT010E_V3: /home/runner/miniconda3/envs/test_env/share/fermitools/refdata/fermi/galdiffuse/gll_iem_v07.fits

Cutting the template around the ROI:

06:30:52 INFO      set the minimizer to minuit                                             joint_likelihood.py:1017
         INFO      set the minimizer to MINUIT                                             joint_likelihood.py:1034
06:30:53 WARNING   74.8 percent of samples have been thrown away because they failed the   analysis_results.py:1645
                  constraints on the parameters. This results might not be suitable for                            
                  error propagation. Enlarge the boundaries until you loose less than 1                            
                  percent of the samples.                                                                          
Best fit values:

result unit
parameter
bn130427324_2.spectrum.main.composite.K_1 (1.482 +/- 0.005) x 10^-1 1 / (keV s cm2)
bn130427324_2.spectrum.main.composite.alpha_1 (-9.19 +/- 0.05) x 10^-1
bn130427324_2.spectrum.main.composite.xp_1 (7.96 +/- 0.07) x 10^2 keV
bn130427324_2.spectrum.main.composite.beta_1 -3.022 +/- 0.030
bn130427324_2.spectrum.main.composite.K_2 1.1 -0.6 +1.5 1 / (keV s cm2)
bn130427324_2.spectrum.main.composite.index_2 -1.71 +/- 0.06
cons_lat_lle (8.000 +/- 0.034) x 10^-1
LAT0X100_IsotropicTemplate_Normalization 5.000 +/- 0.008
Correlation matrix:

1.00 0.26 -0.72 0.56 -0.61 0.59 0.00 -0.00
0.26 1.00 -0.73 0.06 0.25 -0.26 0.00 0.00
-0.72 -0.73 1.00 -0.38 0.10 -0.08 -0.00 -0.00
0.56 0.06 -0.38 1.00 -0.57 0.52 0.01 -0.00
-0.61 0.25 0.10 -0.57 1.00 -0.99 -0.00 0.00
0.59 -0.26 -0.08 0.52 -0.99 1.00 0.00 -0.00
0.00 0.00 -0.00 0.01 -0.00 0.00 1.00 0.00
-0.00 0.00 -0.00 -0.00 0.00 -0.00 0.00 1.00
Values of -log(likelihood) at the minimum:

-log(likelihood)
n6 1114.367049
n9 1061.440251
b1 880.522911
lat_lle 70.125802
LAT0X100 1811.599469
total 4938.055482
Values of statistical measures:

statistical measures
AIC 9892.383691
BIC 9926.398949
[18]:
(                                                    value  negative_error  \
 bn130427324_2.spectrum.main.composite.K_1        0.148244       -0.000501
 bn130427324_2.spectrum.main.composite.alpha_1   -0.918506       -0.004899
 bn130427324_2.spectrum.main.composite.xp_1     796.175741       -6.847524
 bn130427324_2.spectrum.main.composite.beta_1    -3.021983       -0.032184
 bn130427324_2.spectrum.main.composite.K_2        1.105333       -0.608719
 bn130427324_2.spectrum.main.composite.index_2   -1.707909       -0.059393
 cons_lat_lle                                     0.800015        0.000696
 LAT0X100_IsotropicTemplate_Normalization         4.999949       -0.011301

                                                positive_error     error  \
 bn130427324_2.spectrum.main.composite.K_1            0.000502  0.000501
 bn130427324_2.spectrum.main.composite.alpha_1        0.004691  0.004795
 bn130427324_2.spectrum.main.composite.xp_1           7.190828  7.019176
 bn130427324_2.spectrum.main.composite.beta_1         0.029176  0.030680
 bn130427324_2.spectrum.main.composite.K_2            1.439043  1.023881
 bn130427324_2.spectrum.main.composite.index_2        0.056554  0.057974
 cons_lat_lle                                         0.004650  0.002673
 LAT0X100_IsotropicTemplate_Normalization            -0.001310  0.004996

                                                           unit
 bn130427324_2.spectrum.main.composite.K_1      1 / (keV s cm2)
 bn130427324_2.spectrum.main.composite.alpha_1
 bn130427324_2.spectrum.main.composite.xp_1                 keV
 bn130427324_2.spectrum.main.composite.beta_1
 bn130427324_2.spectrum.main.composite.K_2      1 / (keV s cm2)
 bn130427324_2.spectrum.main.composite.index_2
 cons_lat_lle
 LAT0X100_IsotropicTemplate_Normalization                        ,
           -log(likelihood)
 n6             1114.367049
 n9             1061.440251
 b1              880.522911
 lat_lle          70.125802
 LAT0X100       1811.599469
 total          4938.055482)
[19]:
display_spectrum_model_counts(jl_2, show_residuals=True)
[19]:
../_images/notebooks_grb_130427A_GBM%2BLAT_26_0.png
../_images/notebooks_grb_130427A_GBM%2BLAT_26_1.png
[20]:
jl_1.results.get_statistic_measure_frame()
[20]:
statistical measures
AIC 10148.573622
BIC 10174.131120
[21]:
jl_2.results.get_statistic_measure_frame()
[21]:
statistical measures
AIC 9892.383691
BIC 9926.398949

Plot the two components of the best-fit spectrum

[22]:
fig = plot_spectra(
    jl_2.results,
    ene_min=10 * u.keV,
    ene_max=100 * u.GeV,
    flux_unit="erg2/(cm2 s keV)",
    fit_cmap="viridis",
    contour_cmap="viridis",
    contour_style_kwargs=dict(alpha=0.1),
    use_components=True,
    components_to_use=["total", "Band", "Powerlaw"],
)
../_images/notebooks_grb_130427A_GBM%2BLAT_30_4.png

Compute the flux

[23]:
jl_2.results.get_flux(
    ene_min=10 * u.keV, ene_max=100 * u.GeV, use_components=True, flux_unit="1/(cm2 s)"
)
[23]:
flux low bound hi bound
bn130427324_2: Band 56.28494352509192 1 / (s cm2) 56.101015983722455 1 / (s cm2) 56.48717963990927 1 / (s cm2)
bn130427324_2: Powerlaw 0.32109622900410895 1 / (s cm2) 0.17608720410206355 1 / (s cm2) 0.5946621346485931 1 / (s cm2)
[24]:
jl_2.results.get_flux(
    ene_min=10 * u.keV, ene_max=100 * u.GeV, use_components=False, flux_unit="1/(cm2 s)"
)
[24]:
flux low bound hi bound
bn130427324_2: total 56.66211916676208 1 / (s cm2) 56.49478601414048 1 / (s cm2) 56.86105765980553 1 / (s cm2)